다음에 대한 결과:
I would like to plot 2 discrete vectors on one graph created as follows: u=1; X={u,2*u,3*u,4*u,5*u,6*u,7*u,8*u,9*u}; Y={u,3*u,5*u,-u,-6*u,u-u,u^2,u^3,u^4}; stem(X,Y) unfortunately system returns error how to do it properly?
Here's a short article describing how educators from UNSW have used Live Scripts to help students understand mathematical models. Interactive live scripts allow students to experiment and understand concepts through trial and error. The article also explains how the scripts helped provide an enriched online learning experience for the students.
Do you use Live Scripts in your teaching?
Hi All,
Using the PMLSM SimScape block for my FOC PMLSM model - PMLSM
In the example ee_pmlsm_drive.slx which i have based my FOC architedure on, have a few questions please.
There is a gain block after the outer loop velocity controller (iq_Ref), which is the inverse of the Force constant (Kt) shown as (2/3*Np*PM) in the literature. This is also used in the PMSM FOC model, placed after the torque limiter Tq to iq_Ref. Why is this inverse Kt gain added to the idq_ref signal? Does this cancel Kt if its used in the Force Equation?
Previous help posts regarding the Force Constant (Kt), imply emitting the constant (3/2) in Kt. Also in the PMLSM help center document states Ke, Kt and Flux linkage are equal. Does this simplification apply to the translational machine counterpart SimScape block?
I have tried to look into the SimScape block code of the PMLSM to confirm, how do i look under the mask to check the Force equation for the PMLSM to confirm Kt and Ke used in this model?
Any help would be great as this is holding up Validation of my "small signal" linear PMLSM model against the SimScape PMLSM block model.
Thanks
Patrick
I'm a student. Please send me a simulation of a residential microgrid. I need this simulation for my university thesis. My thesis is about economically efficient operation of a residential microgrid using the mopso algorithm.
I often code snippets to students in the question description. I would like the students to be able to copy and paste these from the description into their solution, obviously all on the same web page. I thought this was the case before, but now Ctrl+C/V do not work and when I right click there is no copy/paste options. Is this not possible?
We are excited to announce that Cody Contest 2020 starts today! Again, the rule is simple - solve any problem and rate its difficulty. If you have any question, please visit our FAQs page first. Want to know your ranking? Check out the contest leaderboard .
Happy problem-solving! We hope you are a winner.
One great thing about IoT projects is they are connected to the internet, and that creates an opportunity to collaborate at a distance. Here are resources to help you teach classes that involve remote learning.

- Record and visualize your experiment's data in ThingSpeak channels. For example, this public soil monitor channel shows measurements from a sensor connected to a plant. You can see the ThingSpeak example pages for help getting your experiment connected.

- If you don’t have your own equipment see one of our 1,000,000 existing channels. Check out over 200,000 public channels at ThingSpeak.com.
- Use the fitvirus program to fit COVID-19 data. You can download the fitvirus code on File Exchange. You can get your own data or download statistics from a public ThingSpeak channel with COVID-19 data. For other COVID-19 related resources see COVID-19 Research and Development with MATLAB and Simulink

Figure 1: Fitvirus sample results.
When you can’t make it into the lab, use ThingSpeak to monitor and control your lab equipment for experiments and for teaching.
- When you use ThingSpeak channel values to control your hardware modes, students can run experiments from home, and even collaborate with others to control devices and collect data for analysis.

Figure 2: Sample ThingSpeak lab model.
- Build a simulation model to deploy on hardware and control it remotely. Watch this video to see how you can do both simulation and deployment in the same Simulink model. You can also download the models used in the video.
- Use ThingSpeak to analyze your data. Use the provided code templates (like this one for removing outliers from wind speed data) or custom MATLAB code to filter and analyze your data and schedule it to run at regular intervals.
regularFlag = isregular(data,'Time')
- Use ThingSpeak to Visualize your data. Consider a geographic plot to show location data with your measurements, or build your customized channel view.

Hi All,
Looking for guidance on how to represent a PMSM 3-Phase Converter (DC bus to AC) as a simply 1st Order Transfer Function in my Simulink model.
Researching this, have found we can show the Power Converter as a simple gain and time delay such as G_inv(s) = K_Inv/(1 + T_inv s)
The gain requires V_cm, which is the control voltage, is this control voltage the "Forward Voltage, Vf" in Switching Devices tab in the block?
Is my assumption for the tf for the converter correct?
Thanks
Patrick
I get students to create some figures in MATLAB Grader. Is there anyway the students can save the figure on their computer? I have tried savefig and that doesn't seem to do anything.
Below are some FAQs for the Cody contest 2020. If you have any additional questions, ask your questions by replying to this post. We will keep updating the FAQs.
Q1: If I rate a problem I solved before the contest, will I still get a raffle ticket?
A: Yes. You can rate any problem you have solved, whether it was before or during the contest period.
Q2: When will I receive the contest badges that I've earned?
A: All badges will be awarded after the contest ends.
Q3: How do I know if I’m the raffle winner?
A: If you are a winner, we will contact you to get your name and mailing address. You can find the list of winners on the Cody contest page .
Q4: When will I receive my T-shirt or hat?
A: You will typically receive your prize within a few weeks. It might take longer for international shipping.
Q5: I'm new to Cody. If I have some questions about using Cody, how can I get help?
A: You can ask your question by replying this post. Other community users might help you and we will also monitor the threads. You might also find answers here .
Q6: What do I do if I have a question about a specific problem?
A: If the problem description is unclear, the test suite is broken, or similar concerns arise, post your question(s) as a comment on the specific problem page. If you are having a hard time solving a problem, you can post a comment to your solution attempt (after submitting it). However, do not ask other people to solve problems for you.
Q7: If I find a bug or notice someone is cheating/spamming during the contest, how can I report it?
A: Use Web Site Feedback . Select "MATLAB Central" from the category list.
Q8: Why can't I rate a problem?
A: To rate a problem, you must solve that problem first and have at least 50 total points.
Dear power electronics control community,
Since I have not solved the problem and have not found an answer to why I receive such an output, I would be happy when you could help me out. The actual project is much more extensive but easy schematic of what I want to do is here:
For that, I am using 2-level PWM generator: https://se.mathworks.com/help/physmod/sps/powersys/ref/pwmgenerator2level.html In the DC-link (DC voltage after the converter) the DC voltage output should be more-less constant (with a little noise) but right now it very far away from the desired output:

Does anyone have a idea what might cause this problem?
Take a look at this video on remote access robotics lab. It allows students to submit algorithms and have them run on a robot completely remotely.
Here (16:56) is where the submission process is explained.
Professor Christophe Demaziere from Chalmers University of Technology, Sweden created a short course on nuclear reactor modeling.
- The course followed a flipped and hybrid approach last year but will most likely be taught entirely online in future due to Covid-19 pandemic.
- MATLAB Grader greatly facilitates the Online nature of Christophe's courses.
- Student Feedback was also very positive saying that they learned better compared to the traditional approach.
I'm trying to list out some videos, courses, and other links to learn more about Machine and Deep Learning. Here are some links to getting started with AI/Machine Learning/Deep Learning with MATLAB:
Artificial Intelligence:
Machine Learning:
Data Analytics:
Neural Networks and Deep Learning:
If any of you are using other resources from the MathWorks website or elsewhere, please consider adding it below as a comment.
Thanks!
Hello,
I am a student. I am currently looking into graph neural networks (GNNs). My domain is electrical power systems. In electrical power systems, it is extremely important that we get an accurate desired output numerical value of electrical data from a neural network.
1) I have a basic question. Consider an electrical grid network of nodes. I am trying to learn this electrical grid network data using Graph Neural Network (GNN). Every node of a GNN accumulates data from neighboring nodes, then processes it by a few steps of an algorithm, and passes it to the next layer. Finally, data is passed through a non-linearity and then to the output layer of the GNN.
But, if I feed electrical data to the above process, the original value of data at every node gets manipulated by several processing operations, and especially after passing the manipulated data through a non-linearity at the final stage, the output is obtained only in the form of 1's and 0s. Hence, the original electrical data value at every node is totally lost. On the contrary, I am expecting an output of an "accurate" value of electrical data similar to original value electrical data at every node of the network.
How to address the above problem? Please explain systematically if possible. This is a genuine basic question.
2) Also, does anyone have a clue, why Graph Neural Networks (GNNs) have not been introduced yet as a toolbox or in general in Matlab?
Help and opinion on above questions would be greatly appreciated.
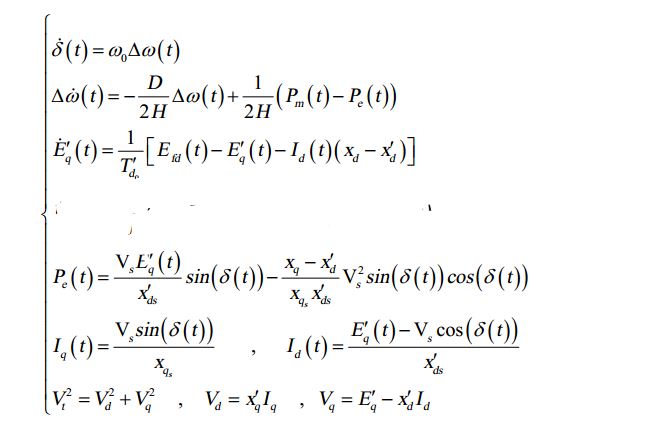
Hi Everyone, I am trying to simulate the third-order model of the synchronous generator (figure below). but I have no idea how to do this. Any help would be great.
help
Thank you for your helping. I'm trying to import csv files form a folder, however it does not work.
The following code might be wrong.. fname=mtlb_dir('Users/shogo/Left_Leg_Single-Leg_Landing/SLLExport/*.exp')
I appreciate it if you help,
Sincerely, Shogo
This year, the 3-day MATLAB workshop is going Virtual: October 11-13 2020. (Sunday evening - Tuesday afternoon, CST). If you're teaching science, math, engineering or related disciplines, consider signing up now. The application deadline is July 31st. Apply for the workshop: Workshop Application
Details: Name: Teaching Online Computation Using MATLAB (Virtual) Date: October 11-13 2020 (Sunday afternoon -- Tuesday mid-afternoon, US time zones) Location: Zoom session Audience: Educators teaching undergraduate and graduate-level science, math, engineering and related disciplines
At the 2020 virtual workshop, you’ll have opportunities to • Curriculum: Upgrade your curriculum with a focus on transitioning to online learning • Mentoring: Meet in 1-on-1 coaching sessions with faculty, education professionals, and MATLAB experts • Publish and Cite: Get your teaching activities peer reviewed and citable for inclusion in your CV • Community: Collaborate with and build connections to a network of educator peers all working on impactful computational skill development in their courses • Learn: Learn how to embed new MATLAB tools in courses to improve student learning (Note that the workshop will use online technologies to enable 1-on-1 mentoring, group work, and community building. As in past years, the focus will be curriculum development, less presentation.)
In addition, you’ll have the chance to learn how to incorporate MATLAB Live Scripts, MATLAB Online, MATLAB Grader, and more.
This virtual will include working groups for building your curriculum. Participants will be matched with like educators.
Apply now to save your spot and help the conveners plan effective groups.
The workshop hosts will review applications and send acceptances status by early August.
Looking forward to your participation in the workshop, Cathy Manduca, Executive Director, SERC Lisa Kempler, Sponsor, MathWorks Don Baker, McGill University, workshop convener Dan Burleson, University of Houston, workshop convener and review editor Kelly Roos, Bradley University, workshop convener and reviewer Kristi Closser, California State University, Fresno, workshop convener and reviewer
P.S. For reference, 2019 workshop program
Looking to get Solar Grid Tie Inverter developed including Hardware + Software + Enclosure design (IP 65) for single phase inverters from 1 KW to 6 KW.















