이 번역 페이지는 최신 내용을 담고 있지 않습니다. 최신 내용을 영문으로 보려면 여기를 클릭하십시오.
BLDC 히스테리시스 전류 제어
이 예제에서는 히스테리시스 제어기를 사용하여 BLDC 기반 전기 드라이브의 전류를 제어하는 방법을 보여줍니다. 제어된 3상 인버터를 통해 DC 전압원이 BLDC에 전력을 공급합니다. 모터 제어기는 램프 형태의 전류를 요청 받습니다. 부하 토크는 회전자 속도의 제곱에 비례합니다. Control 서브시스템은 히스테리시스 기반의 전류 제어 전략을 구현합니다. Scopes 서브시스템은 시뮬레이션 결과를 확인할 수 있는 스코프를 포함합니다.
모델

Simscape 기록의 시뮬레이션 결과
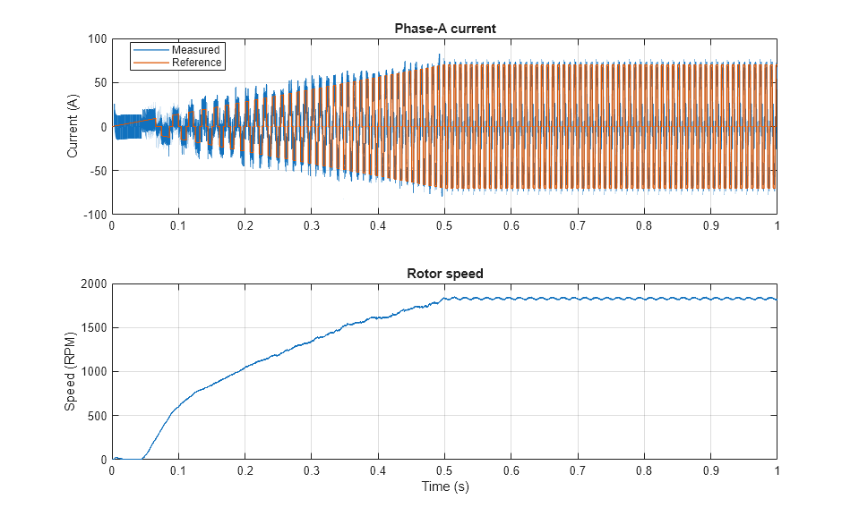
아래 플롯은 테스트에서 요청된 A상에 대한 전류와 그 측정값을 전기 드라이브의 회전자 속도와 함께 보여줍니다.

실시간 시뮬레이션의 결과
이 예제는 Intel® 3.5 GHz i7 멀티코어 CPU가 탑재된 Speedgoat Performance 실시간 타깃 머신에서 테스트되었습니다. 이 모델은 실시간으로 100마이크로초의 스텝 크기로 실행할 수 있습니다.
참고 항목
BLDC | Converter (Three-Phase)