선형 모델 상호 연결하기
모델 상호 연결을 위한 산술 연산
LTI 모델에 덧셈, 곱셈, 결합과 같은 산술 연산을 수행할 수 있습니다. 덧셈은 병렬 상호 연결을 수행합니다. 예를 들어, 다음을 입력하면
tf(1,[1 0]) + tf([1 1],[1 2]) % 1/s + (s+1)/(s+2)
다음 전달 함수가 생성됩니다.
Transfer function: s^2 + 2 s + 2 ------------- s^2 + 2 s
곱셈은 직렬 상호 연결을 수행합니다. 예를 들어, 다음을 입력하면
2 * tf(1,[1 0])*tf([1 1],[1 2]) % 2*1/s*(s+1)/(s+2)
다음과 같은 종속 연결된 전달 함수가 생성됩니다.
Transfer function: 2 s + 2 --------- s^2 + 2 s
피연산자가 서로 다른 유형의 모델인 경우 결과로 생성되는 모델 유형은 우선 순위 규칙에 따라 결정됩니다. 자세한 내용은 Rules That Determine Model Type 항목을 참조하십시오.
모델 산술 함수에 대한 자세한 내용은 Catalog of Model Interconnections 항목을 참조하십시오.
곱셈과 덧셈 대신 각각 series 함수와 parallel 함수를 사용할 수도 있습니다.
동일한 결과를 생성하는 상이한 시스템 상호 연결 방법
연산자 | 함수 | 결과로 생성되는 전달 함수 |
|---|---|---|
|
| 병렬 연결 시스템 |
|
| 병렬 연결 시스템 |
|
| 종속 연결 시스템 |
피드백 상호 연결
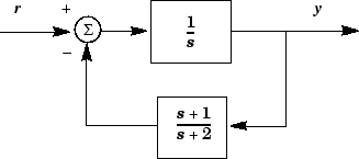
feedback 함수와 lft 함수를 사용하여 폐루프 모델을 도출할 수 있습니다. 예를 들어, 다음은
sys_f = feedback(tf(1,[1 0]), tf([1 1],[1 2])
아래에 표시된 피드백 루프에 대해 r에서 y로의 폐루프 전달 함수를 계산합니다. 결과는 다음과 같습니다.
Transfer function:
s + 2
-------------
s^2 + 3 s + 1
다음 그림은 상호 연결된 시스템을 블록 다이어그램 형식으로 보여줍니다.
피드백 상호 연결

lft 함수를 사용하여 더 복잡한 피드백 구조를 만들 수 있습니다. 이 함수는 두 시스템의 선형 분수 변환을 생성합니다. 자세한 내용은 도움말 페이지를 참조하십시오.