이 번역 페이지는 최신 내용을 담고 있지 않습니다. 최신 내용을 영문으로 보려면 여기를 클릭하십시오.
애니메이션을 사용한 역진자
이 예제에서는 Simulink®를 사용하여 역진자 시스템을 모델링하고 애니메이션으로 나타내는 방법을 보여줍니다. 역진자의 질량 중심은 피벗 점보다 위에 있습니다. 시스템은 이 자세를 안정적으로 유지하기 위해 진자가 쓰러지기 시작할 때 피벗 점을 질량 중심 아래로 이동시키는 제어 논리를 구현합니다. 역진자는 제어 전략을 테스트하는 데 사용되는 고전적인 동역학 문제입니다.

시스템
이 예제에서 시스템은 움직이는 카트에 탑재된 역진자로 구성됩니다. 이 모델은 운동을 수직 평면으로 제한합니다. 이 모델은 시스템 안정성을 유지하기 위해 카트 위치를 추적하는 상태 피드백 제어를 구현합니다. Simulink에서 방정식이 도출되고 구현되는 방법에 대한 설명은 Derive Equations of Motion and Simulate Cart-Pole System (Symbolic Math Toolbox) 항목을 참조하십시오.

애니메이션
이 모델은 Level-2 MATLAB S-Function 블록을 사용하여 애니메이션을 구현합니다. S-Function은 MATLAB® Handle Graphics®를 사용합니다. S-Function을 보려면 pendan.m을 여십시오.

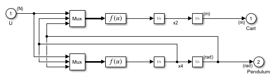
역진자 동역학
이 모델은 마스크 처리된 서브시스템을 사용하여 역진자 비선형 시스템 동역학을 구현합니다. 이 서브시스템은 x축을 따라 카트 위치를 결정하고 피벗 점을 중심으로 진자 회전을 결정합니다.

상태 피드백 제어
이 모델은 상태 피드백 제어를 구현하여 카트의 위치를 추적하고 피벗 점이 진자의 질량 중심 아래에 있도록 유지합니다. State Estimator 서브시스템은 Luenberger 관측기 모델을 사용하여 시스템의 내부 상태를 추정합니다.
분석
Scope 블록은 시뮬레이션이 실행될 때 신호 출력을 제공합니다. 시뮬레이션 데이터 인스펙터를 사용하여 기록된 신호를 조사할 수도 있습니다.

참고 항목
Level-2 MATLAB S-Function | Discrete PID Controller | Signal Generator
도움말 항목
- Add App Designer App to Inverted Pendulum Model (Simulink Real-Time)
- Derive Equations of Motion and Simulate Cart-Pole System (Symbolic Math Toolbox)
- 카트의 역진자 제어 (Control System Toolbox)
- 역진자 제어기 조정 (Simulink Design Optimization)
- 마스크 처리 기본 사항
- Save Signal Data Using Signal Logging
- Unit Specification in Simulink Models